Como Resolver Equacoes Exponenciais
Como Resolver

Como Resolver Equacoes Exponenciais

Como Resolver Equacoes Exponenciais, Indeed recently has been hunted by consumers around us, perhaps one of you personally. People now are accustomed to using the internet in gadgets to view video and image information for inspiration, and according to the name of this article I will discuss about

If the posting of this site is beneficial to our suport by spreading article posts of this site to social media marketing accounts which you have such as for example Facebook, Instagram and others or can also bookmark this blog page.

Apostila De Equacoes Exponenciais Exponenciacao Caderneta De Poupanca Usuario Unico Banco De Venezuela En Linea Personas

Blog Professor Ferretto Usuario Unico Banco De Venezuela En Linea Personas

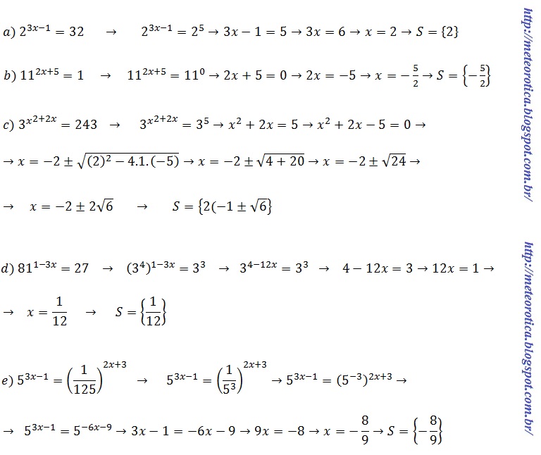
Equacoes Exponenciais Questoes Resolvidas Usuario Unico Banco De Venezuela En Linea Personas

Ajuda Matematica Exibir Topico Sistema De Equacoes Exponenciais Iezzi Usuario Unico Banco De Venezuela En Linea Personas

Apost 04 Equacoes Exponenciais Usando Artificios De Calculo Usuario Unico Banco De Venezuela En Linea Personas

Equacoes Exponenciais Docsity Usuario Unico Banco De Venezuela En Linea Personas

Exercicios De Equacao Exponencial Youtube Usuario Unico Banco De Venezuela En Linea Personas

Equacao Exponencial Ppt Carregar Usuario Unico Banco De Venezuela En Linea Personas

Doc Equacoes Exponenciais Edilson Lobato Pinheiro Academia Edu Usuario Unico Banco De Venezuela En Linea Personas

Equacao Exponencial O Que E E Como Resolver Exercicios Usuario Unico Banco De Venezuela En Linea Personas

More From Usuario Unico Banco De Venezuela En Linea Personas